【科学进展】纽崔莱基金资助项目
——藤茶康普茶缓解非酒精性脂肪肝的作用及机制研究成果
非酒精性脂肪肝是一种严重的公共卫生健康问题,近年来发病率不断上升,已经影响了全球近25%的人口的健康。非酒精性脂肪肝的主要特点是肝脏细胞中的脂质过量蓄积,其发生与发展与氧化应激、炎症以及肠道微生态的紊乱密切相关。
藤茶,学术名为显齿蛇葡萄,又称茅岩莓、茅岩青霜茶、青霜古藤茶、土家甘露、土家神茶、龙须茶,是一种传统的药用植物,已被广泛应用于功能食品的开发。已有研究表明,藤茶中含有丰富的生物活性物质,如二氢杨梅素等。藤茶中的生物活性物质使得其具有抗氧化、抗炎、神经保护、保肝护肝等功能。
in vivo
Antioxidant
Immunomodulators
Antiproliferatives
Hypocholesterolemic
Antihypertensive
Hypoglycemic
Antimicrobials
Some animal tests
Need more evidence
Intestine
Stomach
Lung
Heart
康普茶的有益功效*
(*图片来源: Júnior, J. C. D. S., Meireles Mafaldo, Í., de Lima Brito, I., & Tribuzy de Magalhães Cordeiro, A. M. (2022). Kombucha: Formulation, chemical composition, and therapeutic potentialities. Current research in food science, 5, 360-365.)
康普茶是由红茶或绿茶茶水、蔗糖和红茶菌发酵而得的微酸微甜饮料,因其含有多酚、氨基酸、有机酸等活性物质而具有多种健康益处。藤茶康普茶是一种新型的健康饮品,是利用乳酸菌、醋酸菌和酵母等微生物组成的康普茶发酵剂发酵藤茶制备而成。研究证实,相比于红茶康普茶和甜茶康普茶,藤茶康普茶具有更强的抗氧化能力,且带渣发酵藤茶康普茶当中的总酚含量高于不带渣发酵藤茶康普茶。进一步测试评估发现,带渣或不带渣发酵的藤茶康普茶当中均富含没食子酸、二氢杨梅素和杨梅酮,其中二氢杨梅素的含量较高。虽然关于藤茶康普茶的抗氧化活性已有报道,但其对于非酒精性脂肪肝的缓解作用及机制尚未探究。
PHYTONUTRIENT
中山大学公共卫生学院针对藤茶康普茶对非酒精性脂肪肝的作用及机制展开研究,该研究由中国营养学会科研基金——纽崔莱植物功能成分与健康研究专项基金资助。研究团队以高脂饮食喂养小鼠建立非酒精性脂肪肝小鼠模型,以饮水方式给予二氢杨梅素、藤茶、带渣发酵康普茶、不带渣发酵康普茶连续干预11周,三组饮用水中的活性成分二氢杨梅素的含量均为1.28 mg/mL,对照组与模型组则给予蒸馏水。
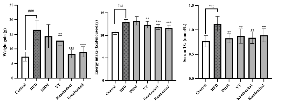
缓解脂代谢紊乱
干预结束后发现,藤茶和康普茶可有效抑制高脂饮食诱导的体重上升,而这种作用可能是通过抑制食欲,降低能量摄入实现的。同时,二氢杨梅素、藤茶、藤茶康普茶均可有效降低非酒精性脂肪肝小鼠血清中的甘油三酯、总胆固醇和低密度脂蛋白水平,并降低肝脏甘油三酯和总胆固醇水平,以及谷丙转氨酶和谷草转氨酶水平,从而调节脂代谢及肝脏功能;肝脏病理切片及油红O染色结果表明,二氢杨梅素、藤茶、藤茶康普茶均可有效调节肝脏病变及脂质蓄积。
HFD
DHM
VT
Kombucha1
Kombucha2
Serum TC (mmol/L)
Serum LDL-C (mmol/L)
Liver TG (nmol/gprot)
Liver TC (nmol/gprot)
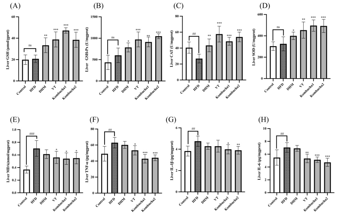
抑制氧化应激及炎症
(B) Liver GSH-Px (U/mgprot)
(C) Liver CAT (U/mgprot)
(D) Liver SOD (U/mgprot)
(E) Liver MDA (nmol/mgprot)
(F) Liver TNF-a (ng/mgprot)
(G) Liver IL-1β (pg/mgprot)
(H) Liver IL-6 (pg/mgprot)
研究发现,二氢杨梅素、藤茶、藤茶康普茶可有效提高非酒精性脂肪肝小鼠肝脏中谷胱甘肽水平,以及谷胱甘肽过氧化物酶、过氧化氢酶和超氧化物歧化酶活性,降低肝脏丙二醛水平,有效抑制小鼠体内氧化应激水平。同时,藤茶康普茶可显著降低非酒精性脂肪肝小鼠肝脏中多种炎症因子(TNF-α、IL-1β和IL-6)的水平,藤茶可显著降低TNF-α和IL-6的水平,但二氢杨梅素则无法显著抑制非酒精性脂肪肝小鼠的肝脏炎症水平。
调节肠道微生态
Microbial Community Composition
(Unassigned)
Faecalibaculum
Akkermansia
Lachnospiraceae_NK4A136_
Desulfovibrio
Alloprevotella
Blautia
Bacteroides
Coriobacteriaceae_UCG-002
Ruminiclostridium_9
Candidatus_Saccharimonas
Lachnoclostridium
Roseburia
Lactobacillus
Ruminococcaceae_UCG-014
others
已有大量研究表明,肠道微生物的组成与结构对于非酒精性脂肪肝的预防和干预具有重要作用。本研究通过16S rRNA测序技术,评估二氢杨梅素、藤茶、藤茶康普茶对高脂饮食诱导的非酒精性脂肪肝小鼠肠道菌群的调节作用。结果发现,藤茶、藤茶康普茶均可有效调节非酒精性脂肪肝小鼠的肠道菌群紊乱。在门水平上,非酒精性脂肪肝小鼠肠道内厚壁菌门的相对丰度,提高拟杆菌门和疣微菌门的相对丰度,其中带渣发酵康普茶的调节作用更为显著,但二氢杨梅素则没有显著调节作用。在属水平上,带渣发酵康普茶干预可缓解非酒精性脂肪肝小鼠肠道内阿克曼菌、拟杆菌属及拟普雷沃氏菌相对丰度的降低,并抑制毛螺菌属、布劳特氏菌属和瘤胃梭菌的相对丰度,使得肠道菌群的结构与组成更接近于健康小鼠。

Faecalibaculum
Akkermansia
Lachnospiraceae_NK4A136_group
Alloprevotella
Blautia
Bacteroides
Ruminiclostridium_9
Serum TG
Serum TC
Serum ALT
Serum AST
Serum LDL-C
Liver TG
Liver TC
Liver GSH
Liver GSHPx
Liver CAT
Liver SOD
Liver MDA
Liver TNF-a
Liver IL-1β
Liver IL-6
综上所述,藤茶康普茶可通过抗氧化、抗炎症和调节肠道菌群改善非酒精性脂肪肝,其中带渣发酵藤茶康普茶效果更佳。因此,膳食摄入藤茶康普茶可有效预防体重增加、脂代谢紊乱和非酒精性脂肪肝。在实际应用中,藤茶康普茶展现出多样化的开发潜力,可以开发为功能饮品、口服液,或者通过冻干技术制成便捷的胶囊等形式,充分发挥其独特的健康功效。
文章链接:https://doi.org/10.1016/j.fbio.2024.105400